首页
公司简介
企业文化
产品展示
新闻中心
联系我们
留言板
中文版
English
产品分类
产品展示
手动搬运车
电动搬运车
升降平台
堆高车
油桶车
单臂吊
空中作业平台
仓储容器
搬运小坦克
撬棒
千斤顶
液压泵
油压缸
葫芦
弯管机
钢板吊具
油桶吊具
滑车
单轨行车
绞盘
链条
网套
电工工具
首页
>
产品展示
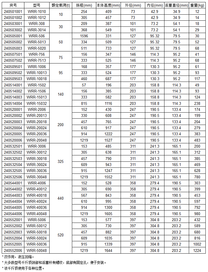
长形双作用液压缸
详细说明
上一条:
薄型自锁液压缸
下一条:
超薄型液压缸
关闭返回